Performance of meteorological forest fire indices for German federal states






Interactive viewer available !
You can explore result data of this study
using our interactive data viewer.



Background: Numerous meteorological forest fire risk indices have been developed to forecast the risk of fire occurrence and aid forest managers to take suitable preventive measures. They are usually classified between 1 (low risk) and 5 (high risk). In Germany fires occur mostly in the north-eastern region, mostly in Brandenburg.

Leading question: Which is the most suitable index to express the fire risk in Germany on a monthly basis?

Analysis: We have evaluated five meteorological fire risk indices and relevant meteorological variables for their predictive capacity against monthly fire statistics for 13 German states between 1993 and 2010. We also took into account, the meteorological input variables of these indices (temperature, precipitation and relative humidity). For this, data from climate stations all over the country was used. The values were aggregated for each state and each month in the fire season and then compared to the monthly fire statistics. For this we used a Spearman's rank correlation test.



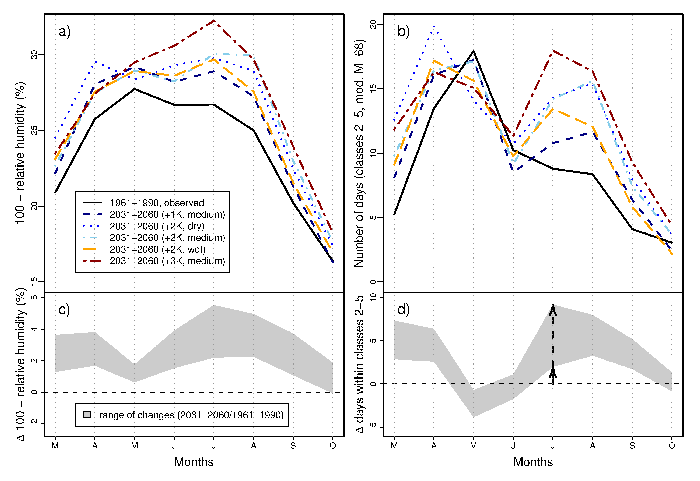
Figure 1. Observed values of relative humidity (left panels) and the modified M-68 index (right panels) averaged over all states between 1961-1990 (black solid line) and projected values of the model STAR for different temperature and moisture scenarios (dashed colored lines). Note that for better comparability with the indices and the observed fires, relative humidity values are reversely displayed, as the difference to 100%. For the modified M-68 index, all days falling into classes 2-5 were considered. Panels c and d display the difference between the observed monthly values regarding lowest and highest changes as projected according to the different scenarios. For example according to the modified M-68 model, days of fire risk will increase by 2 (moderate scenario) to 9.2 days (extreme scenario) in July (see black arrow in panel d). Inserted legends on the left panels refer equally to the panels on the right.

What did we find out?

Mean relative humidity stands out as the best overall predictor (for 9 out of 13 states, see figure) for the recorded number of fires with a median correlation coefficient for Germany of -0.7. The indices with best explanatory power were, in decreasing order, the German modified M-68, the Canadian Fire Weather Index and Angström. The correlations of fire data with relative humidity and fire indices were stronger for states particularly prone to fire occurrence.

Was does this mean for the future?

If we now take the two best performing indicators for all states (relative humidity and the modified M-68), we can analyse the development of their values in future using data from climate projections. Here, we consider the climate model STARS, which uses also station-based data for climate projections. We apply a range from 1-3°C warming until 2060 under dry to wet conditions to provide a range of possible changes.

The results indicate a monthly decrease in relative humidity until 2060 and therefore an increase in fire risk, particularly in the summer months (note: in the figure, relative humidity is reversely displayed). Future monthly values of M-68 also denote a considerable increase of fire risk in summer. The increase in fire risk at the beginning and end of the fire season points to a possible extension of the current fire season.

Summary: Our results reveal that mean relative humidity is a good predictor to describe observed fire occurrences in Germany at a monthly scale. Under climate change the fire risk will increase, especially in late summer.

For more information see: Holsten A., Dominic A.R., Costa L., Kropp J.P. (2013): Evaluation of the Performance of Meteorological Forest Fire Indices for German Federal States, Forest Ecology and Management, 287/1, 123-131