Werner  von Bloh
On the Possibility of Earth-Type Habitable Planets around 47 UMa  


Werner von Bloh

Projects involved

Teaching

Publications

Curriculum Vitae

Parallel programming

My intranet pages

Animations

External links

 


M. Cuntza, W. von Blohb, C. Bounamab, and S. Franckb

Icarus 162, 214-221 (2003)

aDepartment of Physics, University of Texas at Arlington, Box 19059, Arlington, TX 76019, USA.

bPotsdam Institute for Climate Impact Research (PIK), Telegrafenberg, P.O. Box 60 12 03, 14412 Potsdam, Germany.

Abstract

We investigate whether Earth-type habitable planets can in principle exist in the planetary system of 47 UMa. The system of 47 UMa consists of two Jupiter-size planets beyond the outer edge of the stellar habitable zone, and thus resembles our own Solar System most closely compared to all exosolar planetary systems discovered so far. Our study of habitability deliberately follows an Earth-based view according to the concept of Franck and colleagues, which assumes the long-term possibility of photosynthetic biomass production under geodynamic conditions. Consequently, a broad variety of climatological, biogeochemical, and geodynamical processes involved in the generation of photosynthesis-driven life conditions is taken into account. The stellar luminosity and the age of star/planet system are of fundamental importance for planetary habitability. Our study considers different types of planetary continental growth models and takes into account a careful assessment of the stellar parameters. In the event of successful formation and orbital stability, two subjects of intense research and controversies, we find that Earth-type habitable planets around 47 UMa are in principle possible! The likelihood of those planets is increased if assumed that 47 UMa is relatively young (< 6 Gyr) and has a relatively small stellar luminosity as permitted by the observational range of those parameters.

Keywords: Exobiology, Extrasolar Planets, Geophysics, Orbits.

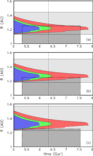
Figure

Figure: The figure panel shows the stellar HZ around 47 UMa for three different luminosities, which are: (a) 1.41, (b) 1.54, and (c) 1.67 Ls. The red, green, and purple areas indicate the extent of the HZ assuming different types of continental growth models in the context of geodynamic models (GDM), which are: no growth (red), linear growth (green), and delayed growth (purple). The light gray areas indicate the results for geostatic model (GSM). The dotted lines indicate the permissible parameter space (also shown as dark gray areas) as constraint by the stellar age and the orbital stability limit at 1.25 AU.

 


   
       
 
  Impressum  © PIK 2006